Opsummer denne artikel: ChatGPT, Perplexity, Google AI

REVNEKONTROL OG SEJHED

 

Vi bliver ofte spurgt, hvorfor vi bruger fibre, da vi også bruger almindelig armering. Svaret er revne-kontrol og sejhed.

 

Sejhed var et af nøgleelementerne, da Hans Henrik Bache udviklede CRC i 1986. Matricen med høj styrke var allerede udviklet nogle år tidligere, da han opfandt og patenterede DSP-konceptet (Densified Cement / Ultra-fine Particle materials) i 1978 - hvilket senere var grundlaget for starten af firmaet Densit. Med udviklingen af CRC blev tætliggende armering kombineret med en højstyrkematrice med stive, stærke fibre, der gjorde det muligt at opnå en opførsel som stål, men for en beton - med de fordele, det giver med hensyn til holdbarhed, brandmodstand osv. Fibrene sørgede for en "lokal" sejhed, mens den tætte armering tilvejebragte "global" sejhed ved at fungere som en stiv ramme. Armeringen delte den fiberarmerede matrice op i små "celler", som hver især er i stand til at udvikle flere revner uden at miste sammenhæng. 

 

Ved hjælp af meget høje fiberindhold (op til 12 vol.% - eller mere end 900 kg pr. M3 - af meget korte, tynde fibre) og meget tæt armering var det muligt at opnå resultater, der var helt usædvanlige. Et eksempel er vist på billedet nedenfor - resultatet af en test udført sammen med det svenske militær, hvor en granat blev affyret mod CRC plader med en tykkelse på 20 cm.

IMPACT/SLAGMODSTAND

CRC
CRC

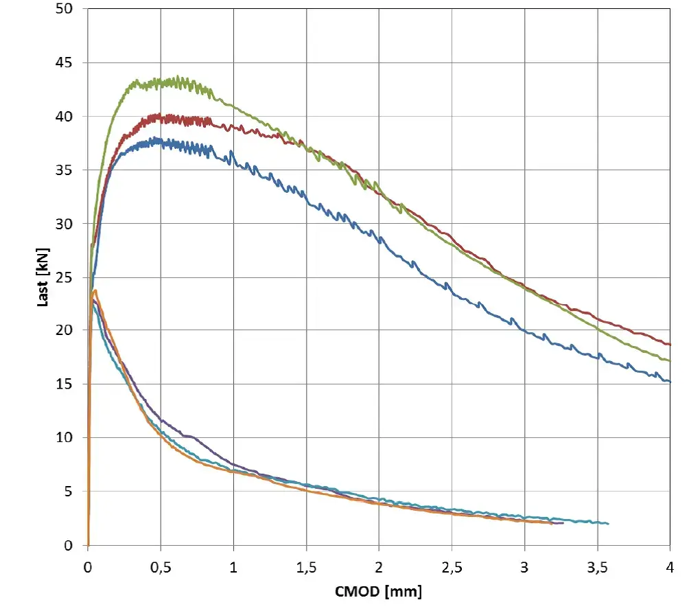
EN 14651 TEST

I det forsøg, der er vist ovenfor, ser vi en tilfredsstillende opførsel af bjælkerne med korte stålfibre, mens den anden fibertype ikke ville være egnet til CRC. Selvom sejhed er en vigtig og integreret del af adfærden i CRC, bruger vi den ikke direkte i vores beregninger. Revne-kontrollen er imidlertid vigtig for f.eks. holdbarhed, for stivhed og nedbøjninger samt af æstetiske grunde. Sejheden er også en del af årsagen til den effekt, som vi ser i vores forsøg med ”koldbøjning”


Da vi skal sælge vores produkter hver dag, kan vi ikke bare være tilfredse med at finde den type fiber og det fiberindhold, der giver os den største styrke og sejhed. Hvis det var tilfældet, opnåede Bache allerede fortrinlige resultater tilbage i 1986/87. Vi er nødt til at finde det bedste kompromis mellem ydeevne og pris i hvert tilfælde (med en vis minimumsydelse J) for at være konkurrencedygtige - og ydeevne relaterer sig i dette tilfælde også til bearbejdelighed. Nogle af de fibre, der giver gode mekaniske egenskaber, giver en meget dårlig bearbejdelighed (noget jeg vil komme ind på i et senere indlæg). Vi har igennem årene testet mange forskellige typer fibre - og vil fortsætte med at gøre det, for at kunne drage fordel af den udvikling der sker på området. Det er en viden, der er vigtig med henblik på at kunne designe det rigtige materiale til den enkelte opgave.

 

Det er på baggrund af denne viden – og det arbejde vi har udført gennem årene på dette felt, at vi gerne vil kunne beslutte for hvert enkelt projekt, hvilken type fiber og hvilket fiberindhold, der er bedst egnet. Dette bringer os undertiden i modstrid med krav til et specifikt projekt, hvor udbyderen (eller hans rådgiver) fastsætter et bestemt fiberindhold, uden at tage hensyn til fibrenes dimension og længde/diameter-forhold.

 

Vi er altid klar til en diskussion - men desværre er det ikke altid tilfældet for udbyderen. Fortæl os, hvis du selv har været ude for tilsvarende overvejelser - eller foretrækker du forholdsvist enkle regler, der er lette at forholde sig til – og som måske giver en bedre sikkerhed? Vi hører også gerne fra dig hvis du bare har kommentarer eller spørgsmål. Indlægget her har været en (relativt) kort gennemgang af nogle af de parametre vi tager hensyn til, når vi ønsker at sikre den nødvendige sejhed for en konstruktion, men vi håber stadig, at det har været af interesse.

LÆS MERE OM ULTRA HØJSTYRKEBETON

Er du interesseret i at vide, hvordan ultra højstyrkebeton kan bruges i dit projekt?

 

UDFYLD FORMULAREN OG VI KONTAKTER DIG